在线CRM为客户创造价值的分析模型研究

时间: 2015-09-18 11:13 来源: www.china-saas.com 作者: 一凌网SAAS服务平台 点击:
  一、前言
  现代营销把培育企业品牌和提升品牌价值作为企业营销的重中之重。在培育品牌和提升品牌价值的过程就是建立品牌良好形象的过程。品牌良好形象很大程度上取决于客户的认知,客户认知是通过对客户群的培育和管理来实现的。关于客户群的培育和管理的研究最早起源于20世纪80年代初的“接触管理”(ContactManagement),到90年代初演变为客户关怀(CustomerCare),后来由重视获取新客户转变为系统的客户关系管理,即在线CRM上来。客户关系管理致力于通过优异的客户关系管理为企业和客户创造相应的价值,实现企业和客户关系双赢,从而在最大程度维持客户关系的同时为企业和客户创造良好的效益。Woodruff于1997年就指出企业竞争成败的根本因素在于对客户资源的占有,在于企业通过为客户创造价值而与客户建立的良好客户关系。客户关系管理正是在这样一种背景下应运而生的。
  近年来关于客户价值的研究随着企业对客户关系管理重视程度的不断提高而得到了加强。客户价值研究内容包括客户价值在客户关系中的应用策略、客户终生价值,客户价值模型等多个方面,本文针对作者研究的重点,将分析在线CRM客户价值创造的原理和影响因素,并就此建立在线CRM为客户创造价值的评价模型,为客户关系管理软件客户价值创造评估提供理论依据。
  二、在线CRM客户价值创造原理
  谈在线CRM创造价值原理,不得不谈在线CRM价值链。在线CRM价值链通过在线CRM流程来体现。在线CRM基本流程包括客户分析——客户亲近——网络发展——价值主张——关系管理。在线CRM通过在线CRM流程来提升客户的盈利能力。基于在线CRM价值链,可以绘制如下图所示在线CRM价值实现过程。
在线CRM,客户关系管理软件
  图1显示,在线CRM价值创造模型是一个反对称模型。模型的左侧描述了在线CRM如何实现客户价值的最大化,而右侧则描述了在线CRM如何实现企业价值的最大化。由图1知,企业通过实施客户关系管理软件.收集和分析客户信息,了解客户的需求。按照不同价值对客户进行细分,制定营销策略,基于客户细分为客户提供定制的产品和服务。这些措施的目的就是提高客户对产品信息和服务的感知效率,降低对产品和服务的感知成本,从而提高客户感知收益。这就是在线CRM为客户创造价值的基本原理。
  对客户来说,在线CRM采取的所有措施,最终均以客户感知的形式表现。为此,建立在线CRM为客户创造价值模型时,可以客户感知作为变量建立。
  三、客户感知价值及其模型
  客户感知价值足一个复杂的概念。Zaithaml(1988)关于客户感知价值理论得到了学术界广泛的认可。他认为客户价值是由客户而不是供应商决定的。企业在为客户设计、制造、提供价值时应该以客户为导向,把客户对价值的感知作为决定因素。按照客户感知价值的特点,将客户感知价值定义为客户在购买和使用某一个产品的整个过程中对所获得的效用与所付出的成本的比较。并将其表示为V=U/C。其中U为客户得到的效用;C为客户付出的成本;V为客户价值。Gronroons进一步从关系角度阐述了客户价值。他认为。价值创造是关系营销的起点和终点,关系营销应该为客户和其他各方创造出比单纯交易营销更大的价值。为此,Gronroons提出了基于关系的客户感知价值数学模型:
  式(1)表明,客户感知价值既受到交易的利益与成本的影响,也受到感知的关系利益与成本的影响,即关系本身创造价值的同时也产生成本,包含在整个客户关系生命周期中,会对整个可感知的客户价值做出贡献。此后,Gronroons等又从关系营销的视角对前述理论进行了发展,提出了全情景价值的概念。新概念认为,客户在感知价值时,除关注企业供应物以为,还关注相互间的整体关系,客户价值不仅来源于核心产品和附加服务,还应包括维持关系的努力。从这一概念出发,传统的营销视角中的扩展产品概念所考虑的关系增值只是与客户交易互动的一个“情景片段”,而在长期交易关系中需要关注“全情景价值”,全情景价值的数学模型可写为:
  为将(2)数值化,设全情景价值为wsV(wholescenevalue)、情景所得为SP(sceneprofit)、情景所失为SL(scenelosing)、关系利益为PR(profitbyrelationship)、关系成本为CR(costofrelationship)。式(2)可改写为:
  式(3)的建立为利用该模型评价客户关系管理软件为客户创造的价值提供了依据。采用该模型对在线CRM为客户创造的价值进行评价时,需要认真分析各变量的影响因素。充分认识各变量的影响因素,并对各影响因素进行精确定义,既能给出评价结果。
  四、客户感知价值模型的影响因素
  为了精确定义式(3)中各变量。必须对影响变量的因素进行深人分析。分析客户感知价值的影响因素是一个复杂的过程,这主要是因为:一方面客户感知价值针对同一客户受客户和企业双方面的影响,涉及的原因众多,对其定位存在一定的困难;另一方面,客户感知价值的还受到不同企业、不同产品的影响,对不同企业难以采用相同的影响因素进行定位。这些因素的存在都决定了客户价值感知影响因素确定的复杂性和困难性。
  但同时也要认识到,虽然客户感知价值的影响因素复杂多变,但总体来说还是存在一定的共性。具体来说,客户感知价值的影响因素不外乎:①企业为客户提供价值的意愿、②企业认知客户需求的能力、③提供特定服务的技术水平、④为客户感知价值提供的便利、以及⑤客户服务水平等几个方面。针对具体企业和具体的产品,就上述5个方面还需要进行更为细致的具体化,另外也不排除增加更多的影响因素,以期分析结果更为准确。
  针对上述影响因素的分析,在将影响因素反映到模型的过程中时,可以将影响因素转换为比例因子代入模型(3)。为了能够实现比例因子分析,首先将模型(3)全景价值WSV的变量SP、SL、PR、CR视为上述影响因素的函数。用表示各影响因素在各变量函数中的值,其中i表示各因素对全景函数变量的贡献,i=1.2…、m,j用于区别作用在WSV的哪个变量上,j=1.2.3.4。例如,当j=1时,作用在变量SP上,当j=2时,作用在变量SL上等等。取值介于0~l。为便于比较,设(3)中各变量的标准值分别为,这些变量值可以根据企业过往的经验数据来确定。这样式(3)改写为
  式(4)是基于影响因素建立的客户价值评估模型,将原有的概念模型进行了具体化,使其达到了操作层面的需要。利用式(4)可以对任何客户关系管理软件进行关于客户价值创造的分析。
  五、应用实例
  作者将该模型应用于某公司烟叶客户关系管理软件为客户创造价值的分析,以验证模型的有效性。按照前述的五个方面的影响因素,某公司烟叶客户感知价值的影响因素可以确定为某公司烟叶在客户中的战略地位、客户在某公司烟叶中的战略地位、客户烟叶采购范围、客户采购某公司烟叶的等级结构、客户采购某公司烟叶的数量、某公司烟叶进入客户品牌情况、某公司烟叶质量、某公司烟叶客服等8个方面的因素。因此,这里式(4)m=8;根据2006年企业业务状况,确定各指标的标准值分别为SP0=20387万元、SL0=533万元、PRO=1356万元、CR0=274万元,式(3)改写为:
  各影响因素的取值也可以根据以往业务发展状况给定。某公司烟叶就各影响因素开展了问卷调查,并对调查结果进行了分析,形成了问卷调查报告。根据问卷调查报告,对各影响因素分别给出了影响值,如表1所示。
  表1模型各影响因素指标
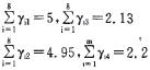
  确定了式(5)各数据后,将其代入式(5),即可给出某公司烟叶在线CRM基于客户感知度的,为客户创造价值的值。其计算结果为:
  各分项上式,WSV值为32。这里WSV是一个无量纲数值,其物理意义可以理解为单位客户成本创造的客户价值。该值越高,则表明客户关系管理软件为客户创造价值的能力越强。根据以往的历史经验,企业最好成绩也很难超过50,因此,就本例而言,在线CRM为客户创造的价值可评判为良好。
  六、结语
  本文分析了客户关系管理软件为客户创造价值模型的分析模型。文中分析了在线CRM为客户创造价值的原理,建立了在线CRM客户价值创造的分析模型,分析了模型的影响因素,并就某公司烟叶在线CRM为客户创造的价值进行了实力分析,为基于在线CRM的为客户创造价值的分析提供了理论依据。
  该模型的优点可以概括为:
  1)对感知过程中的影响因素考虑细致全面。将影响感知的因素分解为多个方面,对每个方面进行数值化精确界定,使得感知从定性的概念变为了定量的可操作的变量。
  2)模型具有先天的可扩展性。该模型采用影响因素和贡献度相结合的方式,使其具有良好的扩展性,这为在线CRM在业务评价过程中根据实际情况改变模型提供了方便。当某些指标的影响显着下降,对模型的评价结果影响甚微的时候,就可以将其剔除,提高评价的效率;而当产生新的影响因素时,可及时的将其加入到评价模型中,使得模型更加符合评价的需要。
  式(3)的建立为利用该模型评价在线CRM为客户创造的价值提供了依据。采用该模型对在线CRM为客户创造的价值进行评价时,需要认真分析各变量的影响因素。充分认识各变量的影响因素,并对各影响因素进行精确定义,既能给出评价结果。
  

一凌网 版权所有 ©2014 客服热线:0532-80983636
售后:0532-80983636 客服邮箱:china-saas@i-lingnet.com 鲁ICP备09044324号-8

鲁公网安备 37021002000259号

您还可以用以下方式进行登录: